Công khai ngân sách 11 tháng của năm 2025

Thứ ba - 09/12/2025 23:37
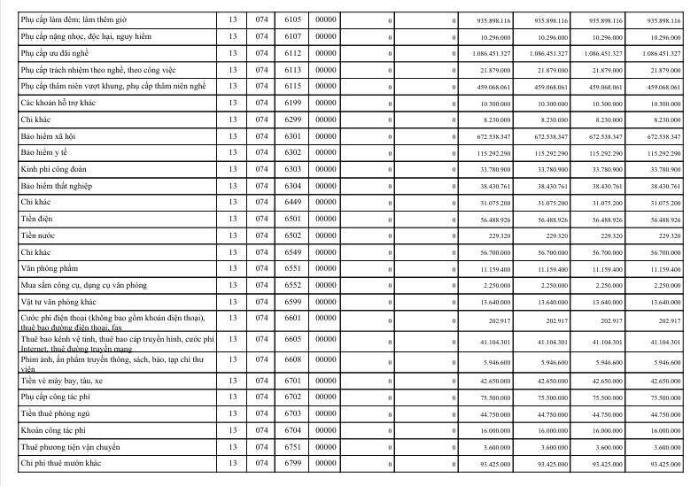
Công khai số liệu sử dụng ngân sách 11 tháng năm 2025

Nội dung công khai như sau: 

Tổng số điểm của bài viết là: 0 trong 0 đánh giá

Click để đánh giá bài viết
Những tin mới hơn
Bạn đã không sử dụng Site, Bấm vào đây để duy trì trạng thái đăng nhập. Thời gian chờ: 60 giây